机场站坪高杆灯避雷针防雷分析及改进建议
摘 要 :采用折线法和滚球法对两型机场站坪高杆灯的避雷针进行防雷分析,找出部分现有高杆灯避雷针防雷存在的不足之处,并以 IEC 推荐的“滚球法”为依据,对两型高杆灯避雷针的保护半径进行计算分析,回溯分析所需的避雷针长度,并提出了相关的改进建议。
关键词 :机场站坪高杆灯;防雷分析;滚球法;折线法
1 引言:广州白云机场地处雷雨多发地带,机场站坪高杆灯杆体离地又有 25m 之高,孤立高耸的站坪高杆灯在雷雨频发的季节里被雷电击中也就在所难免,这样就存在着站坪高杆灯部件被雷击坠落的风险,威胁到过往航空器及人员的安全。机场站坪高杆灯自投入使用以来已有近7 年时间,在过去的运营中高杆灯被雷电击中的事件时有发生。北区货运的站坪高杆灯就曾发生雷击损坏钢丝绳的情况。严重的雷击损坏高杆灯设施事件虽较少发生,但机场对高杆灯的安全运行要求较高,分析并探索出提高现有高杆灯避雷针防雷能力的措施就显得尤为重要,具有极其重要的现实意义。本文从机场站坪高杆灯的特征出发,对需受避雷针保护的高杆灯灯盘外形尺寸进行适当的简化,利用相关的防雷理论进行分析,进而提出相应的改进措施。

2 分析的理论依据
2.1 折线法
如被保护物的高度为 h x ,则在 h x 水平面上的保护
半径 r x 按下列公式计算 [1] :

2.2 滚球法
我国过去的防雷设计规范(如 GBJ57-1983)或过电压保护设计规范(如 GBJ64-1983),对避雷针和避雷线
的保护范围都是按“折线法”来确定的,而现行国家标准GB50057-1994《建筑物防雷设计规范》则规定采用 IEC
推荐的“滚球法”来确定 [2] 。
所谓“滚球法” (roll-ball method),就是选择一个半径为 h r (滚球半径)的球体,沿需要防护直击雷的部位滚动,如果球体只接触到避雷针(线)或避雷针(线)与地面,而不触及需要保护的部位,则该部位就在避雷针(线)的保护范围之内。滚球半径 h r 按建筑物的防雷类别而取不同值。

赢咖7极悦部队营房、军火库等因电火花而引起爆炸,会造成巨大破坏和人身伤亡者的建筑物为第一类防雷建筑物;国家级计算中心、国家级的会堂、办公建筑物、大型展览和博览建筑物、大型火车站等特别重要的建筑物属于第二类防雷建筑物;水塔、高杆灯等孤立的高耸建筑物属第三类防雷建筑物。故本次分析中滚球半径取第三类防雷建筑物的滚球半径,即 h r =60m。
赢咖7极悦图 3 为滚球法中单支避雷针的保护范围示意图:

3 站坪高杆灯的灯盘类型及其特点:目前机场站坪高杆灯的灯盘类型有两种,一种是六边形灯盘,另一种是梯形灯盘。
3.1 六边形灯盘
六边形灯盘的特点是灯具在灯盘上方,灯具的最高点基本与灯杆顶端相平,高杆灯灯具顶部与避雷针的最大水平距离约1.77m。
3.2 梯形高杆灯灯盘
赢咖7极悦梯形高杆灯灯盘的主要特点是灯具安装在高杆灯灯盘下方,灯盘上的镇流器盒顶部与高杆灯顶部基本同⑵滚球法分析六边形高杆灯灯盘避雷针的保护范围。

即现有的六边形灯盘避雷针的保护半径为 1.65m。而 现 有 灯 具 与 避 雷 针 的 最 大 水 平 距 离 是 1.77m
赢咖7极悦(177cm),1.65<1.77, 可见现有的避雷针保护半径离被保护物的最大水平距离还有一点差距。
⑶折线法分析梯形高杆灯灯盘避雷针的保护范围。
赢咖7极悦已知 h x =25m,h=h x +L=25+1.612=26.612m,即 h≤30m,代入式 1 得:R=h-h x =1.612m
赢咖7极悦即现有梯形高杆灯灯盘避雷针的保护半径为1.612m。而现有灯具与避雷针的最大水平距离是 2.49m(249cm),1.612<<2.49, 可见现有避雷针保护半径离被保护物的最大水平距离还有较大的差距,避雷针不能很好保护灯盘上的灯具。
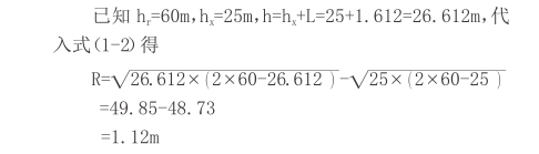
赢咖7极悦⑷滚球法分析梯形高杆灯灯盘避雷针的保护范围。

赢咖7极悦即现有梯形高杆灯灯盘避雷针的保护半径为1.12m。而现有灯具与避雷针的最大水平距离是 2.49m(249cm),1.12<<2.49,可见现有避雷针保护半径离被保护物的最大水平距离还有较大的差距,避雷针不能很好保护灯盘上的灯具。
4.2 避雷针改进分析—— — 建议
赢咖7极悦4.2.1 六边形高杆灯避雷针改进分析
赢咖7极悦为有效保护好高杆灯灯盘上的电气设备和部件,现有的六边形高杆灯避雷针的保护半径需大于或等于177cm,即 R1.77m,设所需的避雷针长度为 L x ,则代入式2 可得:Lx2-70L x +175.25=0→L x ≈2.6m即高杆灯杆体顶上的避雷针的长度需达到 2.6m 才能有效保护灯盘上的电气设备和部件,故建议对该型高杆灯的避雷针进行适当延长改进,使避雷针长度 2.6米。4.2.2 梯形高杆灯避雷针改进分析为有效保护好高杆灯灯盘上的电气设备和部件,现有的梯形高杆灯避雷针的保护半径需大于或等于249cm,即 R≥2.49m,设所需的避雷针长度为 L x ,则代入式 2 可得Lx2-70L x +248.4884=0→Lx ≈3.75m即高杆灯杆体顶上的避雷针的长度需达到 3.75m才能有效保护灯盘上的电气设备和部件,故建议对该型高杆灯的避雷针进行适当延长改进,使避雷针长度3.75m。
5 结束语
赢咖7极悦本文分别采用折线法和滚球法对两型机场站坪高杆灯的避雷针进行防雷分析,找出现有高杆灯部分避雷针防雷存在的不足之处,并以 IEC 推荐的“滚球法”为依据,对两型高杆灯避雷针的保护半径进行计算分析。通过分析可知,现有的梯形高杆灯避雷针保护半径离被保护物的最大水平距离还有较大的差距,避雷针不能很好保护灯盘上的灯具,避雷针需要进一步改进。经进一步作改进分析可知,梯形高杆灯避雷针长度需达到 3.75m才能较好地保护灯盘上的设备及部件。另外,本文中的避雷针长度采用比例法进行测量得出,与实际尺寸会存在一定的误差,故计算分析结果也会存在一定的误差。
上一条: 600W高光效高压钠灯及配套电器在高杆灯照明上的应用
下一条: 高杆灯照明的无线遥控实际应用


苏公网安备32108402000666号 